• .
  • Willkommen im Forum!
  • Alles beim Alten...
  • Du hast kaum etwas verpasst ;-)
  • Jetzt noch sicherer mit HTTPS
Hallo, Gast! Anmelden Registrieren


E-Bike für Alte?
Kannst das Pack ja Mal auf 25V entladen und dann den Drift ansehen und mach ner Woche nochmal draufschauen. Bei länger Tiefentladung besteht die Gefahr von (vermehrtem) Dendritenwachstum, mit Pech geht so ne Zelle dann zügig thermisch durch. Halbwegs moderne Zellen sollten dagegen aber besser gewappnet sein. Wie das bei HiCap Zellen aussieht, weiss ich nicht - die Separatofenfolie wird wohl dünner sein.
 
Reply
Hängt davon ab, stark und vor allem wie lange die Zellen tiefentladen waren. Kurzzeitig ist weniger ein Problem, aber wenns schon beim Entsorger war würde ich mal von "länger" ausgehen und damit -> Tonne.
Unter Beobachtung einige Lade/Entladezyklen (mit Wärmebild) zu fahren wäre auch eine Möglichkeit, aber gibt natürlich auch keine 100%ige Sicherheit. Ich persönlich würde die Zellen nicht mehr ohne Beobachtung verwenden und entsprechend lagern. Dendriten sind böse. Kannst ja einzelne Zellen noch für Tests verwenden, z.B. Reverse Charging (Achtung: auf eigene Gefahr!).
 
Reply
   
Ich handle das mit einem spontanen "emergency discharge”  lachend
 
Reply
double that what christian said. Vollgeladen würde ich die aber nicht rumliegen lassen. Sicherheitshalber entladen, und gucken. Hohe Selbstentladung, erhitzung der zellen ist so der ziemliche worst case.
 
Reply
Je älter ein Li-Ionen Akku wird umso höher dürfte ja die Gefahr eines Brandes sein und je mehr ich drüber nachdenke ~ werde besser mal alle angesammelten Akkus aus Laptops, Handys usw. aus Keller und Schubladen einsammeln, mind. anders lagern und die lange ungenutze Mehrheit davon entsorgen misstrau
Aber das sind nur kleine Brandzellen.....

Am liebsten wäre mir eine Stahlgarage mit automatischer Besandung für die Pedelecs, denn meist sind die Akkus ja am Rad und wirklich vertrauen kann man keinem - Akku.
Wo werden all die E-Autos parken, die da kommen werden/sollen.


Ist denn eine erhöhte Drift ein Hinweis auf ein erhöhtes Risiko?
 
Reply
ja, grundsätzlich ist das ein indikator das etwas nicht stimmt.

ich hab auch nochüber 400 zellen aktuell, jedoch alle einzeln. vlt sollte ich mir da irgendwas überlegen wie ein automatisches lösch system oder so. wäre ne gute idee aber sicher teuer.
 
Reply
Irgendwer im Pedelecforum hatte sich eine Stahlkiste mit automatischer Besandung durch einen dann schmelzenden Sandsack als Deckel gebastelt.
Ob Sand bei z. B. 400 Zellen hilft und vorallem kühlt - keine Ahnung Confused
 
Reply
ich denke grad an was ähnliches, kiste mit transformatorenöl, wo ich dann alle nebeneinander stellen könnte. Muss mal gucken was mich das kostet. danke auf jeden fall für den tipp!
 
Reply
Spontan scheint mir das wie Öl ins Feuer  Tongue
 
Reply
Die Verbrenner werden abgeschafft - es leben die Brenner.
Es wird sich was finden..........Parkhäuser abgedichtet und Gasgeflutet, mit auskehrbaren Aschekästen/Parkboxen für E-SUVs wird eine neue Dimension im Umweltschutz erreicht klappe

https://www.feuertrutz.de/forschung-bran...150/60110/
 
Reply
ich habe noch ein paar große metall-regale wo ich die zellen drauf ausbreiten könnte. klingt für jetzt erstmal nach der besten option. trotzdem brauch ich noch ne langzeit lösung. ich lese mir den beitrag später nochmal in ruhe durch aber soweit ich das richtig verstanden habe ist es wichtig wenig sauerstoff im bereich der zellen zu haben, was nicht grade unmöglich klingt.

ach mensch jetzt werd ich noch paranoid wegen den zellen.
 
Reply
Mach dich nicht verrückt - millionenfach passiert rein garnix Wink
Vorgenommen mehr Respekt den Lionen gegenüber zu haben habe ich mir trotzdem.

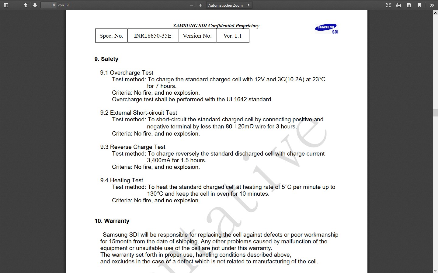
Samsung hat immerhin ein paar erfolgreiche Anforderungen ohne das es fackelt.

   

Habe heute mal eine andere alte Zelle bei 3,9V kurzgeschlossen, weil ich sehen wollte was abgeht - lauwarm und dann leer das wars.
Die zwei plötzlich verstorbenen Zellbänke im Pedelecacku, die ich trotz vorher gleicher Spannung und deshalb für mich überraschend hatte, haben zum Glück auch keine Kampfspuren hinterlassen.

Aber "man weis ja nie was drinne steckt"
 
Reply
bei mir war es da nicht ganz so harmlos. die zelle die ich im emergency discharge entladen habe wurde binnen sekunden heiß genug das ich sie kaum noch anfassen konnte, was zu dem wasserbad geführt hat. habe die zelle für ca 1,5 stunden kurzgeschlossen gehabt, da ich beim auseinander reißen des akku pack’s die zelle beschädigt habe (hatte ein loch am boden der zelle). gemessen hab ich danach erstmal 0,0v. nachdem ich gestern wieder aufgewacht bin hat sie bis auf 3 volt recovered. find ich immernoch merkwürdig, ich wäre doch davon ausgegangen dass sie vlt 1 volt wieder hochgeht aber mit 3 habe ich echt nicht gerechnet.
 
Reply
Mhm, evtl. (so weit ich erinner) Zellen die unterbrechen bei Überlast und erscheinen dann leer !?
= PCB geschützt?
Gestern hatte ich eine gute Erklärung davon vor Augen - nur wo war das ?
Mein Hirn scheint ähnlich ......
 
Reply
Was man so alles eigentlich nicht braucht:
   


Nach langer Sammelzeit steht ein neues altes 1/3 PS Pferdchen mit Anhängerkupplung im Ziegenstall, neu ist nur die Bremse hinten und der Controller - hat mich insgesamt etwa 70 € gekostet und ist wie zu sehen weitgehend aus Teilen vom Straßenrand.
Akku ist wahrscheinlich etwas schlapp, da vom Entsorgungshof.
Aber bin erst ca. 15Km gefahren und muss erst mal laden bzw. was passendes für die Ladebuchse finden ;pop;corn;
Den Motor habe ich vor ca. zwei Jahren als defekt bei Ebay gekauft - Hallsensoren müssen ja nicht sein und der musste endlich aus den Füßen.


Jetzt weis ich immerhin, das ein Vorderadantrieb zumindest beim Losfahren gewöhnungsbedürtig ist.

Rollstuhlräder für einen Eigenbauanhänger liegen auch schon rum Tongue





Und...... ein, naja eigentlich zwei, Tandems sowie drei Bafang BBS01 Mittelmotoren stehen bereit  klappe
 
Reply
Wie dick darf der der Rahmen für die BBS01 sein? Also welchen Spalt kann man überbrücken vom Tretlager zum Motor?
 
Reply
Gute Frage, müsste ich schauen und messen wie genau der Guß dort aussieht
lt. Zeichnung
   

199,25mm -(117,5/2+111+33,5/2)mm=12,5mm ?


   

Einbaubreite eigentlich 68mm es geht aber auch 73mm wobei dann die Kontermutter wegfällt.
 
Reply
Hmm, ich mach morgen mal n Foto vom Rahmen.
 
Reply
etwas 12,3mm bleiben hängen.
   
Ja, Theorie und Praxis;
Max. 10mm passen bis zum Grund/Radius.
   
Verloren gehen dann zur Rahmenbreite 2mm.
Denn im Gehäuse ist eine 2mm Vertiefung dort soll wohl der Rahmen ruhen mit einem maximalen Durchmesser  von ca. 48,3mm.
   
 
Reply
Hmm, mein Unterbau ist gerade, das wird so wohl leider nichts. Danke dir.
 
Reply